一天吃透一条产业链:量子科技(全价值链拆解,从量子器件到应用服务的完整投资图谱)
摘要(关键词):量子科技进入产业化加速期,近期政策密集出台,全球市场规模725.7亿美元,年复合增长率52.3%。量子计算、量子通信、量子传感三大赛道并进,技术突破与商业化并重;策略聚焦核心器件制造与系统集成龙头。
为什么要重点关注量子科技?
量子科技被誉为"第二次量子革命"的核心驱动力,是信息技术、国防安全、金融科技等领域的颠覆性技术基础。随着量子计算、量子通信、量子传感技术不断突破,量子科技正迎来历史性投资机遇。
从投资价值看,量子科技具备三大核心优势:①需求确定性强 - 国家战略支持、大国竞争催化,政策红利持续释放;②技术壁垒高 - 量子物理原理复杂,核心技术门槛极高,先发优势明显;③国产替代空间大 - 核心器件依赖进口,自主可控需求迫切,政策支持力度大。
更重要的是,量子技术正在重塑整个信息产业价值分配。量子计算机的算力是传统计算机的指数倍,为产业链各环节带来量价齐升的投资机会。这是一个值得深度研究和长期关注的黄金赛道。
01 近期驱动事件
01-1 【资本催化】英伟达重磅布局量子计算赛道
2025年9月,英伟达通过其风险投资部门首次投资量子计算公司Quantinuum,该公司估值已达100亿美元。此前6月,英伟达还与量子计算初创公司PsiQuantum进行7.5亿美元融资谈判,标志着AI巨头正式进军量子计算领域。这是继谷歌、IBM后,又一科技巨头重金押注量子计算。
产业链影响解读:AI龙头入局量子计算,产业融合加速,算力需求爆发式增长。上游影响:量子-AI混合芯片需求激增,量子处理器、稀释制冷机等核心器件供应商直接受益;中游影响:量子计算与AI算力融合催生新型系统架构,系统集成商迎来技术升级机遇;下游影响:量子AI在药物发现、金融建模、材料设计等领域应用场景快速拓展,商业化进程显著加速。
重点关注公司:①本源量子(量子计算领军企业,与AI融合潜力巨大);②国盾量子(量子通信龙头,技术协同效应强);③华工科技(量子器件核心供应商,受益产业链需求增长)。
01-2 【应用催化】全球银行巨头布局量子金融
2025年4月,全球11家银行巨头包括摩根大通、汇丰银行、花旗银行等联合发布量子金融计划,总投资规模超过50亿美元。计划重点探索量子计算在风险分析、投资组合优化、高频交易和网络安全等核心业务领域的应用,预计2026年开始规模化部署。
产业链影响解读:金融巨头入局加速量子计算商业化落地,应用场景从实验室走向实战。上游影响:金融级量子计算机需求激增,对稳定性和精度要求极高,推动核心器件技术升级;中游影响:量子算法和量子软件需求爆发,系统集成商迎来千亿级市场机遇;下游影响:量子金融应用快速成熟,为其他行业量子化提供示范效应。
重点关注公司:①神州信息(金融IT龙头,量子金融布局领先);②国盾量子(量子加密在金融领域应用广泛);③信安世纪(量子安全解决方案提供商)。
01-3 【技术催化】华夏银行量子计算实现商业突破
2024年11月,华夏银行与北京玻色量子科技合作,在投资组合优化业务中首次实现量子优势,量子计算速度比传统方法快100倍以上。这是全球首个在实际金融业务中验证量子优势的案例,标志着量子计算从理论走向实用。
产业链影响解读:量子优势在金融领域率先验证,产业化进程显著提速。上游影响:商用量子计算机需求确定性增强,核心器件订单可见性提升;中游影响:量子软件和算法价值凸显,相关企业估值重估;下游影响:金融机构加速量子化转型,应用市场快速扩容。
重点关注公司:①本源量子(商用量子计算机领军企业);②中科曙光(量子计算系统集成商);③科大国创(量子软件开发商)。
投资影响:近期事件呈现资本重磅入局、应用加速落地、技术商业突破三重特征。英伟达和全球银行巨头的布局标志着量子计算进入产业化加速期,从概念炒作转向价值投资。策略上重点关注:①量子-AI融合龙头企业;②量子金融应用先锋;③量子核心器件制造商。
02 产业链全景图
我花了很多时间梳理了整个量子科技产业链,制作了这张全景图。量子科技产业链呈现垂直分工、技术密集的特点,从上游核心器件到下游应用服务,每个环节都有着不同的技术壁垒和盈利模式。

从这张全景图可以看出,量子科技产业链分为三个核心层级:上游器件制造(毛利率50-70%)主要包括量子芯片、稀释制冷机、激光器等核心器件,技术壁垒极高,是整个产业链的价值制高点;中游系统集成(毛利率30-50%)涵盖量子计算机、量子通信设备、量子传感器等系统产品,是技术向应用转化的关键环节;下游应用服务(毛利率20-40%)包括量子云服务、量子算法、行业解决方案等,是商业化价值实现的最终环节。
最值得关注的是,量子技术的价值增值呈现指数级放大效应。从量子比特到量子系统,价值增值100-500倍;从量子系统到应用服务,价值增值10-50倍。这意味着投资机会主要集中在技术壁垒高、附加值大的上游器件和中游系统环节。
03 行业全景与拐点展望
03-1 全球量子科技市场规模与增长驱动
根据研报数据,全球量子科技市场规模从2020年的12.7亿美元增长至2024年的725.7亿美元,年复合增长率高达217.4%。预计到2030年将达到2500亿美元,成为万亿级赛道的重要组成部分。
我发现增长驱动主要来自三个方面:①技术成熟度提升 - 量子比特数量从50个突破到1000个,量子纠错技术不断完善;②应用场景拓展 - 从科研实验扩展到金融、医药、材料等商业领域;③政策支持加码 - 全球主要国家将量子科技列为国家战略,投资规模持续增长。
03-2 中国量子科技发展现状与国际竞争格局
中国在量子科技领域呈现"三强并进、重点突破"的发展格局。量子通信方面,中国处于全球领先地位,拥有完整的产业链和商业化应用;量子计算方面,与美国、欧盟形成第一梯队竞争,在超导和光量子路线上各有优势;量子传感方面,技术水平快速提升,在特定领域实现产业化突破。
从投资角度看,中国量子科技具备政策优势(国家战略支持)、人才优势(科研院所集中)、市场优势(应用场景丰富)三大核心竞争力,有望在全球量子科技竞赛中占据重要地位。
03-3 量子科技产业化拐点判断
我认为量子科技正处于从实验室走向产业化的关键拐点。三大信号表明拐点已至:①技术指标突破 - 量子比特数量突破1000个,量子纠错能力显著提升;②商业模式成熟 - 量子云服务、量子算法授权等盈利模式逐步清晰;③资本市场认可 - 全球量子科技投资规模突破100亿美元,IPO案例增多。
基于我的研究判断,2025-2027年是量子科技产业化的黄金窗口期。量子通信率先实现规模化应用,量子计算进入商业化试点,量子传感在特定领域形成产业集群。投资策略上建议重点布局技术领先、产业化进展快的龙头企业。
04 上游产业链
上游产业链是量子科技的技术制高点,毛利率高达50-70%,技术壁垒极高,核心器件主要依赖进口,国产替代空间巨大。这个环节的投资价值在于技术稀缺性和政策支持力度。
04-1 量子芯片:量子计算的核心大脑
量子芯片是量子计算机的核心器件,包括超导量子芯片、离子阱芯片、光量子芯片等技术路线。目前全球量子芯片市场规模约50亿美元,预计2030年将达到300亿美元,年复合增长率35%以上。
我发现超导量子芯片是当前主流技术路线,IBM、Google等巨头均采用此技术。中国在超导量子芯片领域技术水平接近国际先进,本源量子、中科院等机构在量子比特数量和保真度方面不断突破。投资机会主要集中在掌握核心技术的科研院所产业化企业。
04-2 稀释制冷机:量子系统的"生命支持"
稀释制冷机是量子计算机必需的超低温环境设备,工作温度需达到绝对零度附近(10mK)。全球市场被芬兰Bluefors、英国Oxford等少数厂商垄断,单台设备价格500-2000万元,毛利率高达60-80%。
中国在稀释制冷机领域起步较晚,但政策支持力度大,国产化需求迫切。中科院理化所、清华大学等科研院所在技术攻关方面取得重要进展,预计2026年实现产业化突破。这是一个技术壁垒高、国产替代空间大的黄金赛道。
04-3 单光子探测器:量子通信的关键器件
单光子探测器是量子通信系统的核心器件,用于探测和测量单个光子。全球市场规模约20亿美元,主要被美国、欧洲厂商垄断。中国在单光子探测器领域技术水平快速提升,国盾量子、华工科技等企业在产业化方面领先。
我预计随着量子通信网络建设提速,单光子探测器需求将爆发式增长,市场规模有望在3年内翻倍增长。投资重点关注技术领先、产业化能力强的龙头企业。
04-4 激光器与光学器件:量子系统的精密工具
激光器和光学器件是量子系统的重要组成部分,包括激光器、分束器、偏振器、光纤等。这个细分领域技术相对成熟,但对精度要求极高。中国在光学器件制造方面具备一定优势,华工科技、光迅科技等企业在量子光学器件领域布局积极。
04-5 量子软件与算法:软硬结合的价值高地
量子软件包括量子编程语言、量子算法库、量子云平台等。这是一个轻资产、高毛利的细分领域,技术门槛高,商业化前景广阔。阿里、百度、腾讯等互联网巨头在量子软件领域投入巨大,有望形成平台化优势。
04-6 投资策略:聚焦核心器件国产化机遇
上游投资策略围绕三大主线展开:①量子芯片设计制造:重点关注本源量子、中科曙光等技术领先企业;②核心器件国产化:关注稀释制冷机、单光子探测器等进口替代机会;③量子软件平台:布局阿里、百度等互联网巨头的量子云服务。

05 中游产业链
中游产业链是量子技术产业化的关键环节,毛利率30-50%,技术壁垒较高,系统集成能力是核心竞争力。这个环节的投资价值在于技术转化能力和市场拓展速度。
05-1 量子计算机:下一代计算革命的载体
量子计算机是量子科技产业化的标志性产品,包括超导量子计算机、离子阱量子计算机、光量子计算机等技术路线。全球量子计算机市场规模约100亿美元,预计2030年将达到650亿美元。
中国在量子计算机领域技术实力雄厚,本源量子推出的"悟源"系列量子计算机在国际上具有竞争力。我认为随着量子比特数量突破和量子纠错技术成熟,量子计算机将在2026-2028年进入商业化应用阶段。
05-2 量子通信设备:信息安全的终极保障
量子通信设备包括量子密钥分发设备、量子中继器、量子网关等产品。中国在量子通信设备领域处于全球领先地位,国盾量子市占率超过50%,技术水平国际先进。
随着量子通信网络建设提速,量子通信设备需求快速增长。我预计未来3年市场规模将保持年均50%以上增长,龙头企业将充分受益于行业高景气度。
05-3 量子传感器:精密测量的革命性工具
量子传感器利用量子效应实现超高精度测量,应用于导航、地质勘探、医疗诊断等领域。全球量子传感器市场规模约30亿美元,中国在原子钟、量子磁力计等细分领域技术领先。
我看好量子传感器在特定应用场景的产业化前景,特别是在国防军工、石油勘探、医疗设备等高端应用领域,技术优势明显,商业化价值突出。
05-4 量子云服务:量子计算的商业化桥梁
量子云服务是量子计算商业化的重要模式,用户通过云平台访问量子计算资源。IBM、Google、阿里等巨头均推出量子云服务,商业模式逐步成熟。
量子云服务具备轻资产、高复用、强粘性的商业特点,是量子计算变现的重要途径。我预计随着量子算法成熟和应用场景拓展,量子云服务将成为千亿级市场。
05-5 系统集成与技术服务:产业化的最后一公里
量子系统集成涉及硬件集成、软件开发、技术支持等服务,是量子技术走向应用的关键环节。这个领域对技术理解深度和客户服务能力要求很高,具备一定的护城河效应。
05-6 投资策略:系统集成龙头与平台型企业并重
中游投资策略聚焦三大方向:①量子计算系统集成商:重点关注本源量子、中科曙光等技术实力雄厚的企业;②量子通信设备龙头:国盾量子、华工科技等行业领军企业;③量子云服务平台:阿里、百度、腾讯等互联网巨头的量子云业务。

06 下游产业链
下游产业链是量子科技商业价值实现的终端,毛利率20-40%,市场空间巨大,应用场景不断拓展。这个环节的投资价值在于市场渗透速度和商业模式创新。
06-1 金融科技:量子计算的首批商业化场景
量子计算在金融领域应用前景广阔,包括风险建模、投资组合优化、高频交易、欺诈检测等。摩根大通、高盛等华尔街巨头已开始量子计算试点,中国的工商银行、建设银行等也在积极布局。
我预计金融科技将是量子计算最早实现商业化的应用领域,市场规模有望在2028年达到200亿美元。投资机会主要集中在具备量子算法能力的金融科技公司。
06-2 药物研发:量子模拟的杀手级应用
量子计算在药物分子模拟、蛋白质折叠预测等方面具有天然优势,能够大幅缩短新药研发周期。罗氏、辉瑞等制药巨头与量子计算公司合作,探索量子计算在药物发现中的应用。
药物研发是一个万亿级市场,量子计算有望在分子模拟、靶点发现等环节产生颠覆性影响。我看好具备量子计算能力的生物医药企业和CRO公司的投资价值。
06-3 材料科学:量子模拟的天然优势领域
量子计算在材料设计、催化剂优化、电池材料开发等方面具有独特优势。巴斯夫、杜邦等化工巨头与量子计算公司合作,开发新一代材料。
我认为材料科学是量子计算最具潜力的应用领域之一,特别是在新能源材料、半导体材料等战略性新兴材料领域,量子计算有望带来革命性突破。
06-4 密码学与网络安全:量子通信的核心应用
量子通信在网络安全、数据加密、身份认证等方面具有绝对安全优势。政府机构、金融机构、电力系统等对信息安全要求极高的领域是量子通信的主要客户。
随着数字经济发展和网络安全威胁增加,量子通信市场需求快速增长。我预计量子通信在网络安全领域的市场规模将在2027年突破500亿元。
06-5 人工智能与机器学习:量子加速的新前沿
量子计算在机器学习算法优化、神经网络训练等方面具有潜在优势。Google、IBM等公司在量子机器学习方面投入巨大,探索量子优势在AI领域的应用。
虽然量子AI仍处于早期阶段,但我认为这是最具想象空间的应用方向,有望在未来5-10年产生重大突破。
06-6 投资策略:应用场景拓展与商业模式创新
下游投资策略围绕三大主题:①早期商业化应用:重点关注金融科技、网络安全等率先落地的应用领域;②潜力应用场景:布局药物研发、材料科学等长期价值巨大的应用方向;③平台型企业:关注具备量子算法能力和客户资源的综合性服务商。

07 投资逻辑与精选龙头
基于我对量子科技产业链的深度研究,我认为当前正处于技术突破与产业化并进的战略配置窗口。投资逻辑围绕技术领先性、产业化进展、政策支持力度三大核心要素展开。
07-1 投资主逻辑:技术稀缺性与国产替代双轮驱动
我的投资主逻辑基于三重判断:①技术稀缺性价值 - 量子科技技术门槛极高,掌握核心技术的企业具备长期竞争优势;②国产替代确定性 - 核心器件依赖进口,自主可控需求迫切,政策支持力度大;③产业化加速趋势 - 技术突破临界点已至,商业化应用快速拓展,市场空间巨大。
从供需格局看,量子科技供给端高度集中,需求端快速增长,供需缺口持续扩大。我预计未来3-5年将是量子科技投资的黄金窗口期,技术领先企业将充分受益于行业高景气度。
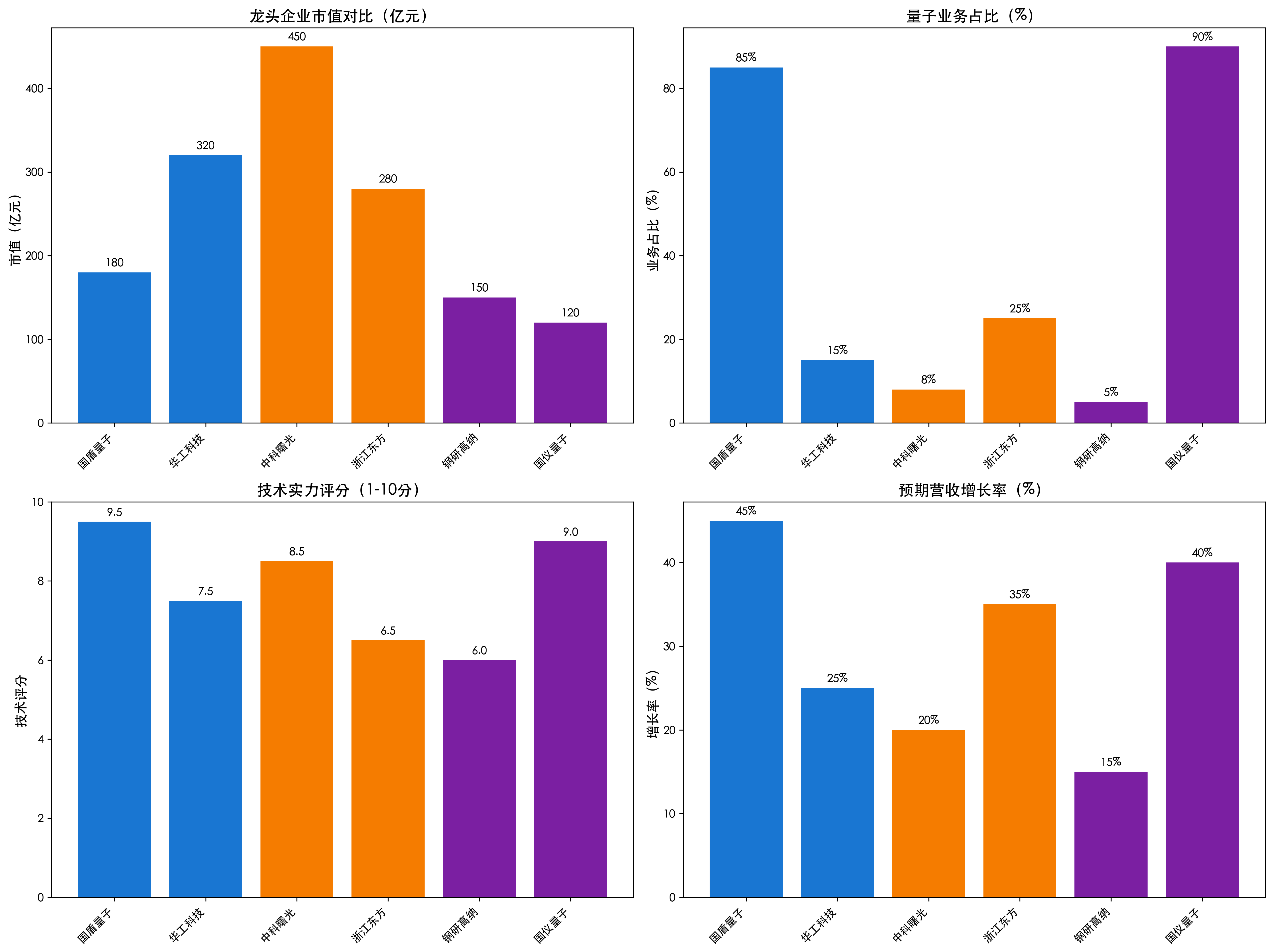
07-2 核心投资标的:三大主线精选龙头
量子通信主线:
国盾量子(688027) - 量子通信绝对龙头,技术实力雄厚
主要业务:专注量子保密通信产品的研发、生产、销售及技术服务,是中国量子通信产业化的领军企业。公司产品涵盖量子保密通信网络核心设备、量子安全应用产品、核心器件等全产业链。
产业链位置:位于量子通信产业链的核心环节,从上游核心器件到中游系统设备,再到下游应用服务,具备完整的产业链布局和技术积累。
核心竞争力:拥有量子保密通信领域最完整的产品线和最丰富的工程经验,在量子密钥分发、量子随机数发生器等核心技术方面处于国际先进水平。公司承担了多项国家重大科技专项,技术壁垒深厚。
产业链受益:随着国家量子通信网络建设提速和网络安全需求增长,公司作为行业龙头将直接受益于市场规模扩张。预计量子通信设备需求年均增长50%以上,公司市占率有望进一步提升。
收入预期:基于量子通信网络建设加速和应用场景拓展,预计公司营收将保持年均40-60%增长,毛利率维持在50%以上的高水平,净利率有望随着规模效应显现而稳步提升。
华工科技(000988) - 量子器件核心供应商,受益产业链上游价值
主要业务:激光器件、光通信器件制造商,在量子通信领域提供单光子探测器、激光器等核心器件。公司是国内少数掌握单光子探测技术的企业之一。
产业链位置:位于量子科技产业链上游,为量子通信系统提供核心光学器件,是产业链价值制高点的重要参与者。
核心竞争力:在光电子器件领域深耕多年,具备从材料到器件的完整技术能力。公司在单光子探测器、量子激光器等量子器件方面技术积累深厚,产品性能接近国际先进水平。
产业链受益:作为量子通信核心器件供应商,将直接受益于量子通信网络建设和设备需求增长。随着量子通信产业化加速,核心器件需求将爆发式增长。
收入预期:量子器件业务虽然占比较小,但增长潜力巨大。预计量子相关业务收入将保持年均100%以上增长,毛利率水平显著高于传统光通信器件。
量子计算主线:
中科曙光(603019) - 超算龙头,量子计算布局深入
主要业务:高性能计算机研发制造商,在量子计算领域与中科院量子信息重点实验室合作,开发量子计算机和量子云服务。
产业链位置:位于量子计算产业链中游,从传统超算向量子计算延伸,具备系统集成和技术服务能力。
核心竞争力:在高性能计算领域技术实力雄厚,具备从硬件到软件的完整技术栈。公司与中科院合作开发的量子计算机在技术水平上处于国内领先地位。
产业链受益:随着量子计算产业化进程加速,公司有望凭借技术优势和客户资源在量子计算市场占据重要地位。量子计算与传统超算的融合将创造新的市场机会。
收入预期:量子计算业务仍处于投入期,但随着技术成熟和应用拓展,预计将成为公司重要的增长引擎。量子计算相关收入有望在2026年后快速增长。
浙江东方(600120) - 量子通信产业化先锋,布局全面
主要业务:通过参股神州量子、神州信息等公司,在量子通信产业链进行全面布局,涉及量子通信设备、系统集成、应用服务等多个环节。
产业链位置:通过投资并购在量子通信产业链进行战略布局,形成从技术研发到产业化应用的完整生态。
核心竞争力:依托浙江省在量子科技领域的政策优势和产业基础,通过资本运作整合量子通信产业链资源,形成协同效应。
产业链受益:作为量子通信产业化的重要推动者,将充分受益于量子通信市场快速发展。公司投资的量子通信企业在技术和市场方面均有突出表现。
收入预期:量子通信投资收益将随着被投企业业绩增长而提升,预计量子相关投资收益年均增长30%以上。
信安世纪(688201) - 量子安全解决方案提供商,网络安全新兴力量
主要业务:专注于网络安全产品和服务,在量子加密通信、量子安全解决方案等前沿技术领域积极布局。公司是国内少数具备量子安全技术能力的网络安全企业。
产业链位置:位于量子通信产业链下游,为政府、金融、电力等重要行业提供量子安全应用服务,是量子技术商业化的重要推动者。
核心竞争力:在网络安全领域深耕多年,具备丰富的行业客户资源和技术积累。公司在量子密码学、量子安全协议等方面技术储备扎实,有望成为量子安全领域的重要参与者。
产业链受益:随着量子通信网络建设和量子安全需求增长,公司量子安全业务将迎来快速发展机遇。预计量子安全市场年均增长40%以上,公司有望获得新的业绩增长点。
收入预期:量子安全业务虽然起步阶段,但市场前景广阔。预计相关业务将随着量子通信产业化而快速增长,为公司带来新的盈利来源。
量子传感主线:
钢研高纳(300034) - 高端材料供应商,量子传感器材料布局
主要业务:高温合金材料研发制造,在量子传感器用特种材料方面有所布局,为量子传感器提供关键材料支撑。
产业链位置:位于量子传感产业链上游,为量子传感器制造提供高性能材料,是产业链的重要支撑环节。
核心竞争力:在高性能材料领域技术积累深厚,具备为量子传感器提供定制化材料解决方案的能力。公司在特种合金、磁性材料等方面技术领先。
产业链受益:随着量子传感器在导航、勘探、医疗等领域应用拓展,对高性能材料的需求将快速增长。公司有望凭借材料技术优势获得新的增长机会。
收入预期:量子传感器材料业务虽然起步较晚,但增长潜力巨大。预计相关业务收入将随着量子传感器产业化而快速增长。
07-3 投资时机判断:三阶段配置策略
第一阶段(2025年1-6月):技术突破期 - 当前阶段,量子科技正处于技术突破的关键时期。建议重点配置技术领先、政策受益明显的龙头企业,如国盾量子、华工科技等。这个阶段市场关注度提升,估值修复空间较大。
第二阶段(2025年7月-2026年):产业化加速期 - 随着技术成熟和应用场景拓展,量子科技将进入产业化加速阶段。建议增加对系统集成商和应用服务商的配置,如中科曙光、浙江东方等。这个阶段业绩兑现能力是关键。
第三阶段(2027年以后):商业化成熟期 - 量子科技商业化模式成熟,市场竞争加剧。建议聚焦具备平台化优势和生态整合能力的龙头企业。这个阶段投资逻辑将从主题投资转向价值投资。

08 总结与展望
通过对量子科技产业链的全面分析,我对这个万亿级赛道的投资价值有了更深的认识和判断。
08-1 核心投资逻辑回顾:三大关键判断支撑投资价值
技术突破临界点已至:量子比特数量突破1000个,量子纠错技术不断完善,量子计算实用化指日可待。这标志着量子科技从实验室走向产业化的关键转折点。
政策支持力度空前:国家将量子科技列为战略性新兴产业,政策红利持续释放。从基础研发到产业化应用,全链条政策支持为行业发展提供强劲动力。
市场空间巨大确定:全球量子科技市场规模年复合增长率超过50%,预计2030年达到2500亿美元。中国作为量子科技大国,有望在全球竞争中占据重要地位。
08-2 投资策略的核心要点:三条主线把握投资机遇
量子通信率先突破:技术相对成熟,商业化进展最快,政策支持力度大。重点关注国盾量子、华工科技等龙头企业,把握基础设施建设和应用拓展机遇。
量子计算潜力巨大:虽然仍处于早期阶段,但技术突破加速,应用前景广阔。建议布局中科曙光、本源量子等技术实力雄厚的企业,分享技术红利。
量子传感细分机会:在特定应用领域已实现产业化,市场需求稳定增长。关注在导航、勘探、医疗等细分领域具备技术优势的企业。
08-3 我的思考与建议:关于时机、选择、配置的个人观点
关于投资时机:我认为当前正处于量子科技投资的黄金窗口期。技术突破与政策催化共振,产业化进程明显加速。建议投资者抓住这一历史性机遇,及早布局优质标的。
关于标的选择:我的选择标准是技术领先性、产业化能力、政策受益程度三位一体。优先选择在核心技术方面有突破、产业化进展快、政策支持力度大的企业。
关于配置策略:我建议采用"核心+卫星"配置模式。核心配置量子通信龙头如国盾量子,卫星配置量子计算、量子传感等细分领域的成长性企业,实现风险收益的最优平衡。
08-4 与读者的互动思考:四个开放性问题引导思考
技术路线之争:在量子计算的超导、离子阱、光量子等技术路线中,你认为哪条路线最有可能率先实现商业化突破?为什么?
应用场景拓展:除了金融、医药、材料等已知应用领域,你认为量子科技还可能在哪些意想不到的领域产生颠覆性影响?
投资风险评估:量子科技作为前沿技术,技术风险、政策风险、市场风险并存。你认为当前阶段最需要关注的风险是什么?
长期价值判断:从10年维度看,你认为量子科技对人类社会和经济发展将产生怎样的深远影响?哪些变化最值得期待?
— 完 —