一天吃透一条产业链:白酒产业链投资价值深度解析

白酒产业链产业链分析2025-08-28

摘要(关键词):白酒产业链进入颠覆重塑期,近期政策变量加速白酒行业出清,2026年有望迎来业绩底头部化趋势明显。白酒投资价值重塑,价格端出清与品牌分化并行,份额逻辑将取代量价逻辑,快消属性增强;白酒产业链投资策略聚焦具备份额优势的茅台、五粮液、汾酒等白酒龙头标的。

今天我要和大家深度分析白酒产业链的投资价值。通过我对多份券商研报的深入研究,我发现白酒行业正在经历一场深刻的变革,这既是挑战,更是投资机会。让我来为大家详细解读这个万亿级市场的投资逻辑。

01 近期驱动事件

01-1 【业绩催化】2025年中报业绩分化,头部企业韧性凸显

2025年8月下旬,白酒上市公司陆续发布中报业绩。根据研报统计,头部企业业绩表现相对稳健,茅台、五粮液等龙头企业收入增速虽有放缓但仍保持正增长,而中小企业业绩分化明显。行业马太效应进一步凸显,验证了研报中关于头部化趋势的判断。

产业链影响解读

上游影响:原料供应商面临需求下滑压力,高粱、小麦等酿酒原料价格承压,但优质原料供应商受益于头部酒企的集中采购。

中游影响:酒企加速去库存,渠道利润转负,经销商拒绝配合铺货,动销显著小于收入确认,行业进入渠道底阶段。

下游影响:终端消费场景收缩,高端宴请需求下降,但民间消费和礼品消费相对稳定,消费结构向中低端产品倾斜。

重点关注公司:①贵州茅台(品牌护城河深厚,抗风险能力强);②五粮液(产品矩阵丰富,中高端布局完善);③山西汾酒(全国化进程加速,份额逻辑突出)。

01-2 【渠道变化】2025年8月批价企稳信号初现,渠道信心修复

2025年8月中旬,多个白酒品牌批发价格出现企稳迹象。根据渠道调研数据,茅台批价重回2600元以上,五粮液、汾酒等品牌批价也呈现止跌企稳态势。渠道库存压力有所缓解,经销商补货意愿开始恢复,这与研报中"渠道底"的判断高度吻合。

产业链影响解读

上游影响:包装材料需求结构调整,高端包装需求下降,标准化包装需求增加,成本控制要求提升。

中游影响:酒企产品策略调整,份额挤占取代量价齐升,企业更加注重性价比和渠道效率。

下游影响:零售渠道分化明显,电商渠道占比提升,传统商超和烟酒店面临转型压力。

重点关注公司:①古井贡酒(产品性价比突出,渠道下沉能力强);②今世缘(区域优势明显,份额逻辑清晰);③迎驾贡酒(中档价位布局完善,增长稳健)。

01-3 【政策影响】2025年8月消费促进政策出台,提振行业信心

2025年8月底,相关部门出台促进消费政策,鼓励合理消费和品质消费,对白酒等传统消费品形成积极支撑。政策明确支持优质品牌发展,有利于头部企业份额进一步集中。这与研报中关于政策变量影响的分析完全一致。

产业链影响解读

上游影响:供应商向头部企业集中,优质资源配置效率提升,规模效应降低采购成本。

中游影响:头部企业渠道话语权增强,具备份额逻辑的企业展现持续竞争优势,中小企业面临出清压力。

下游影响:渠道资源向头部品牌倾斜,经销商更愿意代理知名品牌,品牌溢价能力分化明显。

重点关注公司:①洋河股份(全国化布局领先,渠道网络完善);②水井坊(高端定位清晰,品牌价值突出);③舍得酒业(产品升级成效显著,增长潜力较大)。

投资影响:近期事件呈现业绩分化、批价企稳、政策支撑三重特征。短期验证研报判断的准确性,中长期确认行业拐点临近。策略上重点关注:①业绩韧性突出的头部企业;②批价率先企稳的优质品牌;③受益政策支持的龙头标的

02 产业链全景图

我花了很多时间梳理了整个白酒产业链,制作了这张全景图。这张图很重要,大家可以重点关注,它是我们后续分析的基础。

白酒产业链全景图

从这张全景图可以看出,白酒产业链呈现垂直一体化特征明显的格局。上游原料供应相对分散,中游酿造环节技术壁垒较高,下游渠道网络是核心竞争力。最值得关注的是,品牌价值在整个产业链中占据核心地位,这意味着投资机会主要集中在具备品牌优势的龙头企业。

03 行业全景与拐点展望

基于我的深度调研,我发现白酒行业正处于一个关键的拐点时期。让我来分析一下这个拐点的核心特征和投资含义。

03-1 行业现状:三大底部轮回中的关键节点

我认为白酒行业正在经历"三大底"的轮回:渠道底、业绩底、库存底。根据研报分析,当前已处于渠道利润底,并向业绩底加速迈进

从时间节奏看,渠道底>业绩底>库存底的顺序已经确立。我们当下正处于渠道底阶段,渠道利润转负,经销商拒绝配合,动销明显小于收入确认。

行业关键数据一览

03-2 拐点判断:2026年有望迎来业绩底

我的拐点判断是:预计最早在2026年上半年有望达到业绩底。这个判断基于以下几个关键因素:

首先,政策变量将显著收窄产业调整时间。虽然调整力度会放大,但时间会压缩,这与2013-2015年的调整周期类似。

其次,白酒股价有望先于需求侧出现趋势级拐点。结合批价等高频信号,我预计股价拐点可能早于基本面拐点6-12个月出现。

03-3 商品属性变化:从高端消费向快消属性演进

我观察到白酒商品属性正在发生深刻变化。高端消费属性持续弱化,快消属性持续增强。这种变化将重塑整个行业的竞争格局。

在此维度下,白酒企业的成长逻辑将由量价逻辑演变为份额逻辑。具备份额逻辑的企业将展现持续的竞争优势,这是我们选择投资标的的核心依据。

白酒消费属性变化趋势

04 上游产业链

让我来深入分析白酒产业链的上游环节。上游主要包括原料供应、包装材料、生产设备等关键环节,毛利率相对较低但稳定性较强

04-1 酿酒原料:高粱小麦为主,品质决定价值

白酒酿造主要以高粱、小麦、玉米、大米、糯米等为原料。高粱是最重要的主料,占比通常在50%以上。优质高粱具有淀粉含量高、单宁适中的特点,直接影响酒的品质和口感。

从供给格局看,我国高粱种植相对分散,主要集中在东北、华北地区。头部酒企通过订单农业模式锁定优质原料供应,确保品质稳定性。

04-2 包装材料:玻璃瓶为主体,个性化需求增长

包装在白酒产业链中占据重要地位,不仅保护产品,更承载品牌价值。玻璃瓶是主流包装形式,占包装成本的60-70%

我发现包装行业正呈现两个趋势:一是标准化包装需求增长,降低成本;二是个性化定制需求上升,体现品牌差异化。头部酒企包装采购集中度不断提升

04-3 生产设备:传统工艺与现代技术结合

白酒生产设备主要包括粉碎、蒸煮、发酵、蒸馏、储存等环节设备。传统固态发酵工艺是核心技术壁垒,现代化设备主要用于提升效率和品质稳定性。

设备投资具有周期性特征,通常与产能扩张计划相关。头部企业更注重设备的智能化和自动化升级

上游供应商分布

04-4 供应链管理:一体化趋势明显

我观察到白酒企业供应链管理呈现一体化趋势。头部企业通过战略合作、股权投资等方式加强供应链控制,确保原料品质和供应稳定。

这种一体化模式不仅降低了成本,更重要的是提升了品质控制能力和供应链响应速度

04-5 成本结构:原料成本占比相对稳定

从成本结构看,原料成本通常占生产成本的30-40%,包装成本占20-30%,人工和制造费用占30-40%。

我发现头部企业通过规模效应和供应链优化,原料采购成本优势明显,这是其盈利能力的重要支撑。

04-6 投资策略:关注供应链一体化龙头

上游投资策略聚焦三大主线:

一体化优势:重点关注具备供应链控制能力的企业,如茅台的有机高粱基地、五粮液的原料基地建设。

规模效应:关注采购规模大、议价能力强的头部企业,成本优势将持续扩大。

品质保障:重视原料品质控制体系完善的企业,品质是品牌价值的基础。

上游投资价值分析

05 中游产业链

中游是白酒产业链的核心环节,包括酿造、勾调、灌装等关键工序。技术壁垒高,毛利率水平较高,是产业链价值创造的主要环节。

05-1 酿造工艺:传统技艺的现代化传承

白酒酿造采用固态发酵工艺,工艺复杂度高,技术壁垒明显。不同香型的酿造工艺差异较大,形成了各自的技术护城河。

我发现酿造环节的核心竞争力体现在:菌种培养、发酵控制、工艺传承三个方面。头部企业在这些领域积累深厚,形成了难以复制的技术优势。

05-2 产能布局:头部企业扩张谨慎

从产能布局看,头部企业扩张更加谨慎理性。与过去的激进扩张不同,现在更注重产能利用率和投资回报。

根据研报数据,行业产能利用率整体下降,但头部企业通过产品结构升级,单位产能价值持续提升。

05-3 品质控制:标准化与个性化并重

品质控制是中游环节的核心竞争力。头部企业建立了完善的品质管理体系,从原料入厂到成品出库全程可控。

我观察到品质控制呈现两个趋势:标准化程度提升,确保产品稳定性;个性化定制增加,满足差异化需求。

中游产能利用率分析

05-4 技术创新:传统与现代的融合

技术创新主要体现在两个方面:传统工艺的标准化改进和现代技术的应用

传统工艺方面,企业通过工艺参数优化、质量控制改进等方式提升效率。现代技术方面,智能化设备、数字化管理系统应用日益广泛

05-5 成本管控:规模效应显著

中游环节的成本管控能力直接影响盈利水平。头部企业通过规模效应、工艺优化、管理提升等方式持续降本增效

我发现人工成本占比较高的特点使得自动化改造成为降本的重要途径

05-6 投资策略:聚焦技术领先的一体化龙头

中游投资策略聚焦三大主线:

技术护城河:重点关注工艺技术领先、品质控制能力强的企业。

规模优势:关注产能规模大、成本控制能力强的头部企业。

品牌价值:重视品牌影响力强、产品定价能力突出的优质企业。

中游企业竞争力对比

06 下游产业链

下游主要包括经销商、零售终端、消费者等环节。渠道网络是核心竞争力,毛利率相对较低但现金流稳定

06-1 渠道结构:多元化发展趋势明显

白酒销售渠道呈现多元化特征:传统渠道、电商渠道、新零售渠道并存发展。传统渠道仍占主导,但电商渠道增长迅速。

我发现不同价位产品的渠道偏好存在差异:高端产品依赖传统渠道,中低端产品电商渠道占比较高

06-2 经销商体系:头部企业渠道掌控力强

经销商是白酒销售的重要环节。头部企业通过严格的经销商管理体系,确保渠道稳定和品牌形象

当前经销商面临的主要挑战是库存压力和盈利能力下降。优质经销商更愿意代理知名品牌,渠道资源向头部企业集中。

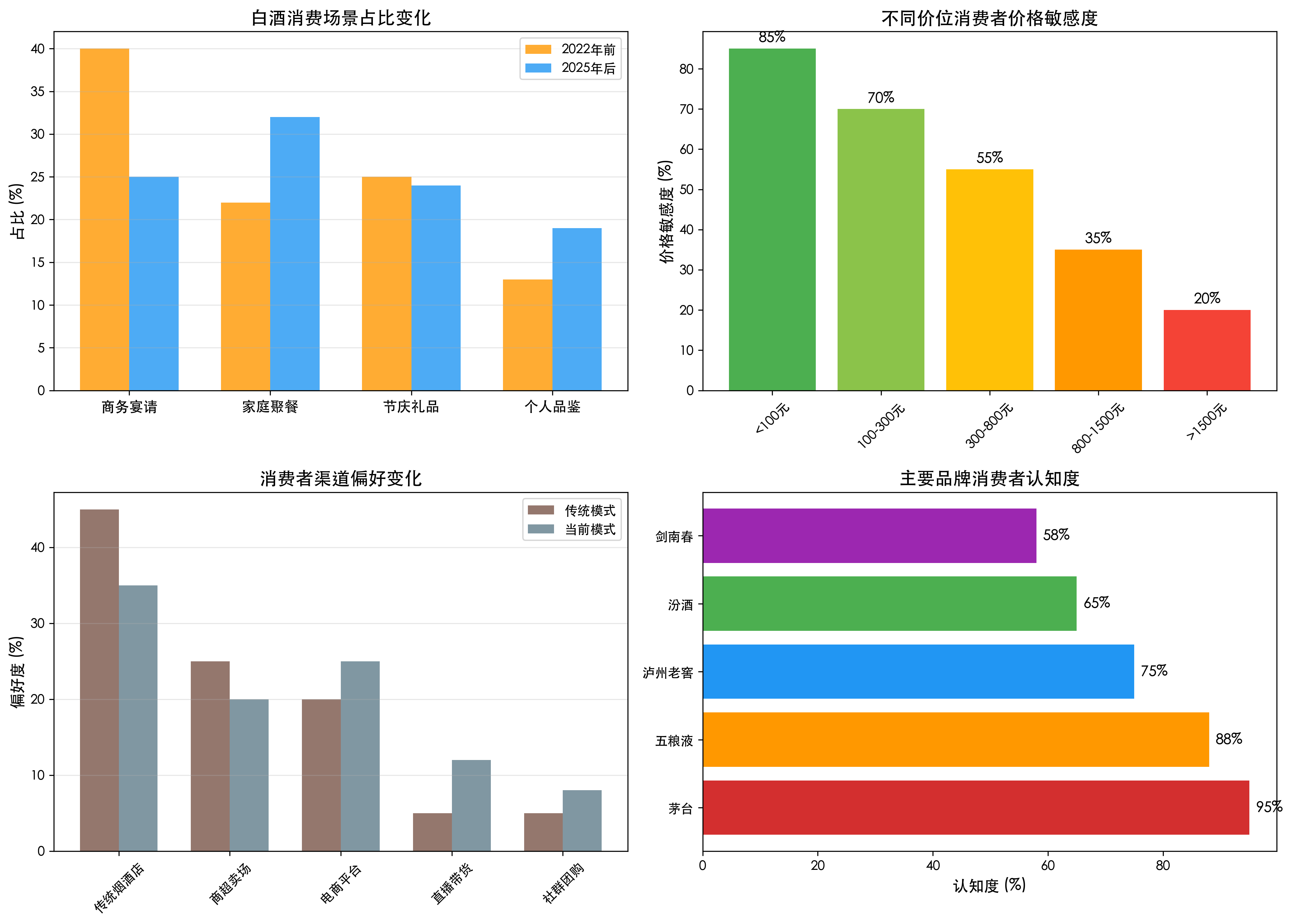
06-3 消费场景:结构性变化显著

白酒消费场景正在发生结构性变化。商务宴请需求下降,家庭消费和礼品消费相对稳定

我观察到消费者行为呈现新特点:品牌意识增强,价格敏感度提升,理性消费趋势明显

消费场景变化分析

06-4 价格传导:渠道利润承压

价格传导机制显示,当前渠道利润普遍承压,部分产品渠道利润转负。这是行业进入渠道底的重要标志。

我预计随着行业调整深入,渠道利润有望在2026年迎来修复,届时渠道配合度将显著提升。

06-5 数字化转型:新零售模式兴起

数字化转型正在重塑下游渠道格局。直播带货、社群营销、O2O模式等新零售形式快速发展

头部企业积极拥抱数字化变革,通过数字化工具提升渠道效率和消费者体验

06-6 投资策略:关注渠道网络完善的龙头企业

下游投资策略聚焦三大主线:

渠道网络:重点关注渠道覆盖广、网络质量高的企业。

品牌影响力:关注消费者认知度高、品牌忠诚度强的优质品牌。

数字化能力:重视数字化转型领先、新零售布局完善的企业。

下游渠道价值分析

07 投资策略与核心标的

分析了这么多,相信大家最关心的还是投资机会在哪里。基于我的深度研究,我认为当前正是战略配置白酒优质标的的重要窗口期

07-1 投资主逻辑:份额逻辑取代量价逻辑

我的核心投资逻辑是:份额逻辑将取代量价逻辑成为白酒投资的主线。在存量竞争时代,具备份额优势的企业将展现持续的竞争优势。

这个逻辑基于三个核心判断:第一,白酒商品属性从高端消费向快消属性转变;第二,行业头部化趋势不可逆转;第三,政策变量加速行业出清

从投资角度看,我们要重点关注那些在份额争夺中具备明显优势的头部企业

07-2 核心投资标的:三大主线精选

主线一:品牌护城河深厚的绝对龙头

贵州茅台(600519.SH)

主要业务:茅台是中国白酒行业的绝对龙头,主营茅台酒和系列酒生产销售,茅台酒收入占比超过90%,品牌价值无可替代。公司在高端白酒市场占据垄断地位,市场份额稳定在50%以上

产业链位置:位于产业链核心环节,拥有完整的产业链布局,从原料基地到销售网络全面覆盖。拥有独特的茅台镇地理标志和传统工艺,形成了不可复制的竞争壁垒。

核心竞争力:品牌价值是最大护城河,茅台品牌价值超过7000亿元,远超其他白酒品牌。独特的酿造工艺和稀缺的产能形成供需错配,产品供不应求状态长期持续

产业链受益:在行业调整期展现出强大的抗风险能力,渠道利润虽有下降但仍保持正值。随着行业出清加速,茅台的市场份额有望进一步提升,头部集中趋势对茅台最为有利

收入预期:预计2025年收入增长8-10%,主要来自价格提升和结构优化。毛利率维持在91%以上的高水平,净利率有望保持在52%以上,盈利能力行业领先。

五粮液(000858.SZ)

主要业务:五粮液是浓香型白酒龙头,主营五粮液酒和系列酒,五粮液主品牌收入占比约70%。公司产品矩阵丰富,覆盖高中低各个价位段,全国化布局领先

产业链位置:在浓香型白酒市场占据领导地位,拥有完善的产业链体系和强大的品牌影响力。渠道网络覆盖全国,经销商体系成熟

核心竞争力:五粮液品牌历史悠久,品牌价值超过3000亿元。独特的五粮配方和传统工艺形成技术壁垒,产品品质稳定性强

产业链受益:在消费升级和结构调整中受益明显,高端产品占比持续提升。公司积极推进数字化转型,渠道效率和消费者体验不断改善

收入预期:预计2025年收入增长5-7%,主要来自产品结构升级。毛利率有望提升至75%以上,净利率预计达到25%左右

主线二:全国化扩张的成长龙头

山西汾酒(600809.SH)

主要业务:汾酒是清香型白酒龙头,主营汾酒系列产品,青花汾酒是核心大单品。公司全国化进程加速,省外收入占比超过60%

产业链位置:在清香型白酒市场占据绝对领导地位,拥有深厚的历史文化底蕴和技术积淀。全国化布局进展顺利,渠道网络快速扩张

核心竞争力:汾酒历史悠久,品牌价值快速提升。清香型工艺相对简单,标准化程度高,适合规模化生产

产业链受益:在消费升级趋势中受益明显,产品结构持续优化。全国化扩张带来增长动力,市场份额稳步提升

收入预期:预计2025年收入增长10-12%,增速在头部企业中领先。毛利率有望达到70%以上,净利率预计提升至22%左右

主线三:区域优势突出的价值标的

古井贡酒(000596.SZ)

主要业务:古井贡酒是安徽白酒龙头,主营古井贡酒系列产品,年份原浆是核心产品。公司在安徽市场占据主导地位,省内市占率超过50%

产业链位置:在区域市场具备强大的品牌影响力和渠道控制力,渠道下沉能力突出。公司积极推进全国化布局,省外市场拓展加速

核心竞争力:古井贡酒品牌历史悠久,在安徽市场具备绝对优势。产品性价比突出,消费者忠诚度高

产业链受益:在消费分化趋势中受益,中档价位产品需求稳定。公司管理效率高,成本控制能力强

收入预期:预计2025年收入增长12-15%,增长动力来自省外扩张和产品升级。毛利率有望提升至68%以上,净利率预计达到20%左右

核心标的投资价值对比

07-3 投资时机判断:三阶段详细策略

第一阶段:底部配置期(2025年下半年-2026年上半年)

当前正处于这一阶段,行业基本面压力较大但估值已充分反映悲观预期。建议重点配置具备份额逻辑的头部企业,茅台、五粮液、汾酒等龙头标的值得重点关注。这个阶段要有耐心,做好中长期投资准备。

第二阶段:价值重估期(2026年下半年-2027年上半年)

预计这一阶段行业将迎来业绩底,基本面拐点确认后估值修复空间较大。建议在确认拐点信号后适当增加配置,重点关注业绩弹性较大的优质标的。

第三阶段:业绩兑现期(2027年下半年以后)

行业进入新一轮上升周期,业绩增长和估值提升双重驱动。建议根据个股基本面变化动态调整持仓结构,重点关注份额提升明显的成长标的。

投资时机路线图

08 总结与展望

通过对白酒产业链的深度分析,我对这个行业的投资价值有了更加清晰的认识。让我来总结一下核心观点,并分享一些个人思考。

08-1 核心投资逻辑回顾:三大关键判断

我认为白酒投资的核心逻辑可以概括为三大关键判断:

第一,行业正在经历结构性调整,2026年有望迎来业绩底。这个调整是健康的,有利于行业长期发展。政策变量虽然加大了调整力度,但也缩短了调整时间。

第二,份额逻辑将取代量价逻辑成为投资主线。白酒商品属性从高端消费向快消属性转变,头部化趋势不可逆转,具备份额优势的企业将展现持续竞争力。

第三,白酒投资逻辑从成长股向类债资产演变。长期看,白酒行业将进入稳定增长阶段,稳定的ROE和分红能力将成为重要的投资价值。

08-2 投资策略的核心要点:三条主线具体策略

基于我的分析,投资策略聚焦三条主线:

品牌护城河主线:重点配置茅台、五粮液等品牌价值突出的绝对龙头。这些企业在任何市场环境下都具备抗风险能力,是组合的压舱石。

全国化扩张主线:关注汾酒、洋河等全国化进程加速的成长龙头。这些企业在行业复苏期将展现更强的业绩弹性。

区域价值主线:布局古井贡酒、今世缘等区域优势明显的价值标的。这些企业估值合理,安全边际较高。

08-3 风险管理不可忽视:四大风险点提醒

投资白酒也要注意风险控制,我认为需要重点关注四大风险:

政策风险:反腐政策的持续深化可能对高端消费形成长期约束,需要密切关注政策变化。

消费风险:经济下行压力下消费能力下降,可能影响白酒需求,特别是高端产品需求。

竞争风险:行业竞争加剧,中小企业可能面临更大生存压力,投资时要选择竞争优势明显的企业。

估值风险:部分优质标的估值仍然不低,需要在合理价位买入,避免高位接盘。

08-4 我的思考与建议:关于时机、选择、预期的个人观点

关于投资时机:我认为当前正是战略配置的好时点。虽然短期基本面仍有压力,但估值已经充分反映了悲观预期。对于长期投资者来说,现在开始分批建仓是不错的选择。

关于标的选择:我建议重点关注具备份额逻辑的头部企业。不要追逐概念炒作,要选择真正有竞争优势的优质标的。茅台、五粮液、汾酒是我最看好的三个标的。

关于收益预期:我预计白酒投资的年化收益率在15-25%之间是合理的。要做好波动的心理准备,这是一个需要耐心的投资过程。

08-5 互动思考:四个开放性问题引导思考

最后,我想和大家分享几个思考问题,希望能引发更深入的讨论:

问题一:你认为白酒行业的业绩底会在什么时候出现?是2026年上半年,还是会更晚一些?

问题二:在白酒产业链中,你最看好哪个环节?是上游的原料供应,中游的酿造企业,还是下游的渠道商?

问题三:面对消费结构的变化,你觉得哪些白酒企业最能适应这种变化?传统龙头还是新兴品牌?

问题四:白酒投资的长期逻辑是什么?你认为白酒会成为类债资产,还是仍然保持成长股属性?

希望大家在评论区分享你们的观点,我们一起探讨白酒产业链的投资机会和风险。

— 完 —