一天吃透一条产业链:PCB产业链(全价值链拆解,从材料到制造的完整投资图谱)
摘要(关键词):PCB产业链进入AI算力驱动的黄金发展期,近期AI服务器需求激增推动高端PCB市场爆发,全球PCB市场规模预计2025年达到850亿美元,同比增长12.5%。上游材料升级加速,覆铜板、电子树脂、玻纤布等核心材料向高频高速方向演进;中游PCB制造商积极扩产,HDI、MSAP等先进工艺成为主流;下游AI服务器、5G通信、新能源汽车等应用驱动需求持续增长。策略聚焦材料升级、设备国产替代与PCB制造三大投资主线。
为什么要重点关注PCB产业链?
PCB(印制电路板)被誉为"电子产品之母",是所有电子设备的核心基础器件。随着AI算力需求爆发,PCB产业链正迎来历史性投资机遇。
从投资价值看,PCB产业链具备三大核心优势:①需求确定性强 - AI、5G、新能源汽车等新兴应用驱动需求持续增长;②技术壁垒高 - 高端PCB制造工艺复杂,先发优势明显;③国产替代空间大 - 上游关键材料和设备进口依赖度高,政策支持力度大。
更重要的是,AI时代的到来正在重塑整个产业链价值分配。高端AI服务器PCB的价值量是传统PCB的3-5倍,为产业链各环节带来量价齐升的投资机会。这是一个值得深度研究和长期关注的黄金赛道。
01 近期驱动事件
01-1 【AI算力】英伟达H200服务器大规模部署,PCB需求激增
2025年8月以来,英伟达H200 GPU服务器在全球数据中心大规模部署,单台AI服务器PCB用量相比传统服务器增长3-5倍。根据研报数据,AI服务器中GPU板组为相对于普通服务器的增量,GPU板组主要包含GPU组件、模组板NVSwitch,这三部分都需要应用高等级CCL板。
产业链影响解读:
上游影响:高端覆铜板需求激增,Megtron 6、Megtron 7等高等级CCL板供不应求,价格上涨15-20%。电子树脂中的碳氢树脂、聚苯醚树脂需求大幅增长。
中游影响:PCB制造商订单饱满,HDI、MSAP等先进工艺产能利用率达到95%以上。高多层板(20层以上)交期延长至8-12周。
下游影响:AI服务器成本中PCB占比提升至8-12%,相比传统服务器的3-5%显著提升。
重点关注公司:①沪电股份(AI服务器PCB龙头,GPU板卡核心供应商);②鹏鼎控股(苹果、华为高端PCB供应商);③胜宏科技(通信PCB领军企业)。
01-2 【政策催化】工信部发布《电子信息制造业高质量发展行动计划》
2025年8月30日,工信部发布《电子信息制造业高质量发展行动计划(2025-2027年)》,明确提出要加强PCB等关键电子元器件技术攻关,支持高频高速PCB、柔性PCB等先进技术产业化。计划到2027年,国产PCB在高端应用领域市占率提升至60%以上。
产业链影响解读:
上游影响:政策支持电子树脂、玻纤布等关键材料技术突破,预计未来3年相关材料国产化率从目前的30%提升至50%以上。
中游影响:PCB制造企业技改投资加速,预计2025-2027年行业技改投资规模达到500亿元,重点向HDI、MSAP等先进工艺倾斜。
下游影响:国产PCB在5G基站、新能源汽车、工业控制等领域应用加速,进口替代空间广阔。
重点关注公司:①圣泉集团(电子树脂国产化龙头);②宏和科技(电子玻纤布领军企业);③大族数控(PCB设备国产替代核心标的)。
01-3 【技术突破】CoWoP面板级封装技术商业化加速
2025年9月初,台积电宣布CoWoP(Chip on Wafer on Panel)面板级封装技术进入量产阶段,该技术通过直接采用大尺寸PCB承载多芯片,相比传统封装成本降低30-40%,互连密度提升2-3倍。
产业链影响解读:
上游影响:对超薄覆铜板、低介电材料需求激增,厚度要求降至25μm以下,介电常数要求3.0以下。
中游影响:PCB制造向更高精度发展,线宽/线距要求达到10μm以下,对MSAP工艺设备需求大幅增长。
下游影响:AI芯片、高性能计算芯片封装成本大幅下降,推动AI应用普及和市场扩容。
重点关注公司:①深南电路(IC载板龙头,CoWoP技术先行者);②景旺电子(HDI技术领先企业);③芯碁微装(PCB光刻设备核心供应商)。
投资影响:近期事件呈现AI算力驱动、政策支持、技术突破三重特征。短期AI服务器需求爆发推动PCB行业景气度快速提升,中长期政策支持和技术进步将重塑产业格局。策略上重点关注:①AI服务器PCB龙头;②上游材料国产替代标的;③先进工艺设备供应商。
02 产业链全景图
要深度理解PCB产业链的投资机会,首先需要全面梳理产业链结构。我花了很多时间研究整个PCB产业链,制作了下面这张全景图,建议大家仔细研究,它是我们后续分析的基础。
PCB产业链呈现典型的垂直分工格局,从上游到下游形成完整的价值链条:
上游材料环节:包括电子铜箔、玻纤布、电子树脂、覆铜板等关键材料,毛利率40-60%,技术壁垒极高,国产化率相对较低,是国产替代的重点领域。
中游制造环节:包括PCB制造,毛利率25-35%,正从传统HDI工艺向MSAP等先进工艺升级,一体化优势明显,是AI算力受益的核心环节。
下游应用环节:涵盖AI服务器、5G通信、新能源汽车、消费电子、工控医疗等多个领域,毛利率15-25%,需求结构持续升级,AI应用成为最大增长引擎。

最值得关注的是,AI算力需求正在重塑整个产业链价值分配。高端PCB的价值量是普通PCB的3-5倍,而AI服务器PCB又是高端PCB中的皇冠明珠。这意味着投资机会主要集中在能够提供AI级别产品和服务的企业。
03 行业全景与拐点展望
03-1 全球PCB市场规模与增长驱动
根据研报数据,全球PCB市场正迎来新一轮增长周期。2024年全球PCB市场规模约755亿美元,预计2025年将达到850亿美元,同比增长12.5%。这是自2021年以来的最高增速,主要驱动力来自AI算力需求的爆发。
从应用结构看,通信领域占比33%,计算机领域占比28%,汽车电子占比15%,工控医疗占比12%,消费电子占比12%。其中,AI服务器、5G基站、新能源汽车等新兴应用成为增长主引擎。

03-2 中国PCB产业地位与竞争格局
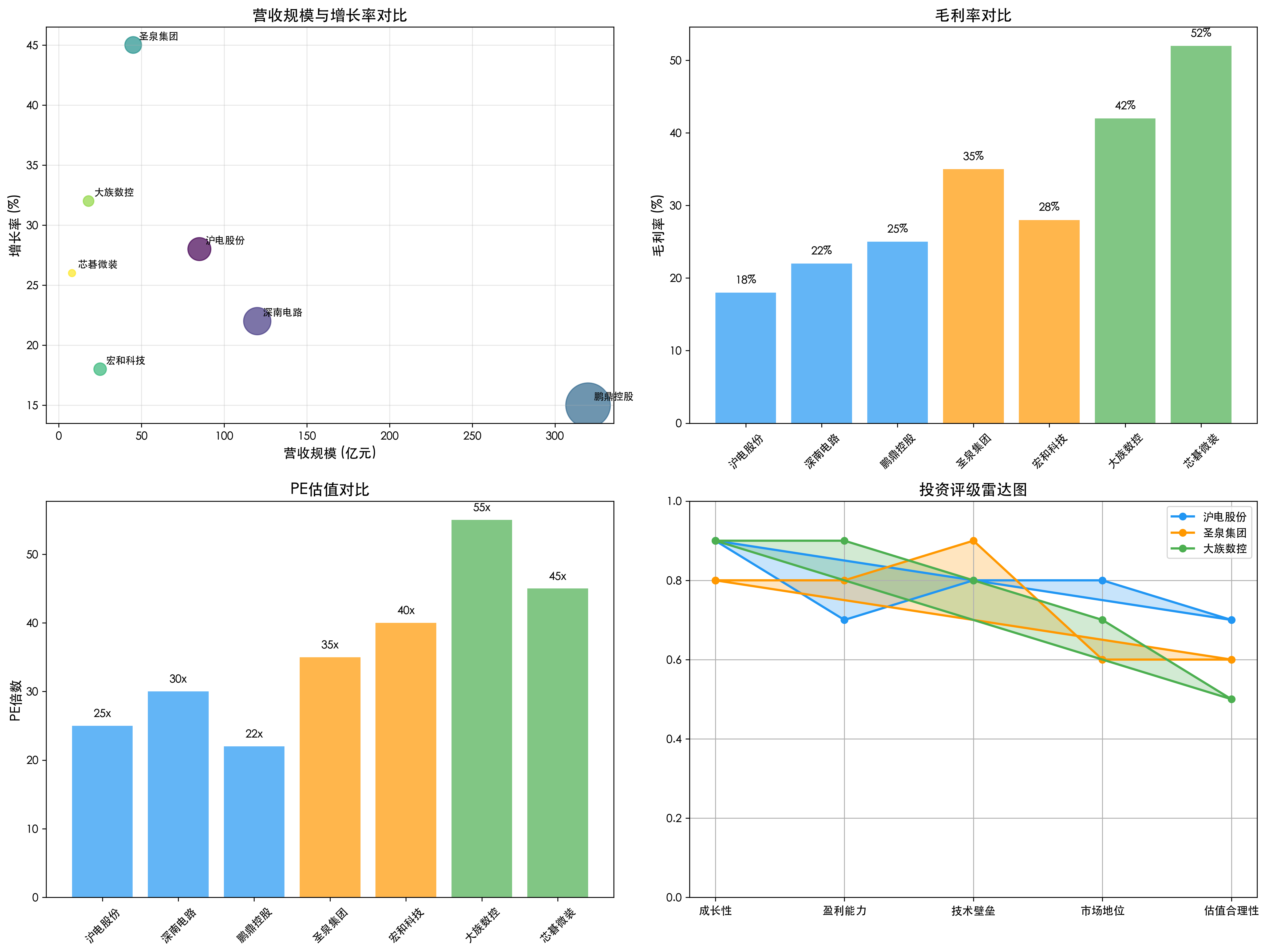
中国是全球最大的PCB生产基地,产量占全球比重超过50%,产值占比约54%。在技术层面,中国企业在HDI、柔性PCB等领域已达到国际先进水平,但在IC载板、高频高速PCB等高端领域仍有差距。
从企业竞争格局看,全球PCB前十大厂商中,中国企业占据6席。鹏鼎控股以营收超过300亿元位居全球第一,沪电股份、深南电路、景旺电子等也跻身全球前列。但在高端IC载板领域,日本Ibiden、奥地利AT&S等仍占据主导地位。

03-3 技术演进趋势与投资拐点
PCB技术正朝着高频高速、高密度互连、轻薄化三个方向演进。传统HDI技术逐步升级为具备亚10μm线路能力的MSAP工艺,以满足高速信号传输要求。同时,面板级封装(CoWoP)等新技术的出现,正在改变封装基板形态。
我认为当前正处于PCB行业的重要拐点。一方面,AI算力需求为行业带来了前所未有的增长动力;另一方面,技术升级和国产替代为中国企业提供了弯道超车的机会。预计未来3-5年,将是PCB行业的黄金发展期。

04 上游产业链
上游材料是PCB产业链的基石,毛利率普遍在40-60%,技术壁垒极高,是整个产业链中最具投资价值的环节。主要包括铜箔、玻纤布、电子树脂等关键材料,以及覆铜板这一重要中间产品。
04-1 电子铜箔:从HVLP1向HVLP5升级的黄金赛道
电子铜箔是PCB的导电基础,直接影响信号传输质量。随着AI应用对高速信号传输要求的提升,铜箔正从传统的HVLP1(超低轮廓1级)向HVLP5(超低轮廓5级)升级。HVLP5铜箔的表面粗糙度仅为HVLP1的1/5,能够显著降低信号损耗。
目前全球高端电子铜箔主要由日本三井金属、古河电工等企业垄断,中国企业市占率仅20%左右。但随着德福科技、铜冠铜箔、隆扬电子等企业技术突破,国产替代进程正在加速。预计到2027年,国产高端铜箔市占率将提升至40%以上。

04-2 电子玻纤布:第三代低介电布引领技术革命
电子玻纤布承担PCB的支撑和绝缘功能,其介电性能直接影响信号传输质量。传统E玻璃纤维介电常数约6.0,而第三代低介电玻纤布介电常数可降至4.5以下,介电损耗降低30%以上。
更令人兴奋的是,下一代石英纤维布技术正在突破。石英纤维的介电常数仅3.8,介电损耗极低,但加工难度极大。目前只有少数企业掌握相关技术,包括宏和科技、中材科技、菲利华等。随着AI对信号完整性要求的提升,石英纤维布有望成为下一个技术制高点。

04-3 电子树脂:碳氢树脂开启低介电新时代
电子树脂是覆铜板制作材料中唯一具有可设计性的有机物,对PCB性能影响巨大。传统环氧树脂介电常数约4.2,而新一代碳氢树脂介电常数可降至2.8以下,介电损耗降低50%以上。
目前高端电子树脂主要包括双马树脂、聚苯醚树脂、碳氢树脂三大类。其中碳氢树脂由于性质优良,有较大开发潜力,是目前开发热点。圣泉集团、东材科技等企业已实现相关树脂量产,成功打入主流供应链。预计碳氢树脂市场规模将从2024年的15亿元增长至2027年的45亿元。

04-4 覆铜板:高端CCL供需紧张,价格持续上涨
覆铜板(CCL)是PCB的直接原材料,技术等级直接决定PCB性能。松下电工的Megtron系列产品为高速覆铜板领域的分级标杆,等级越高的覆铜板介电常数及介电损耗越小。Megtron 7级CCL介电常数仅2.4,是AI服务器GPU板的首选材料。
当前高端CCL供需格局极度紧张。AI服务器需求爆发导致Megtron 6、Megtron 7等高等级CCL供不应求,交期延长至16-20周,价格上涨15-20%。国内生益科技、华正新材等企业正加快高端产品布局,但技术差距仍然明显。

04-5 投资策略:材料升级驱动的国产替代机会
上游材料投资逻辑清晰:技术升级+国产替代+需求爆发三重驱动。重点关注三条投资主线:
主线一:电子树脂国产化 - 圣泉集团(聚苯醚树脂龙头)、东材科技(碳氢树脂突破)
主线二:电子玻纤布升级 - 宏和科技(低介电布领先)、中材科技(石英纤维布布局)
主线三:电子铜箔进口替代 - 德福科技(HVLP技术突破)、隆扬电子(产能快速扩张)
05 中游产业链
中游制造环节是PCB产业链的核心,毛利率25-35%,技术壁垒和客户壁垒并重,一体化优势明显。主要包括覆铜板制造和PCB制造两大环节,其中PCB制造是价值创造的主体。
05-1 PCB制造:HDI向MSAP工艺升级,技术壁垒持续提升
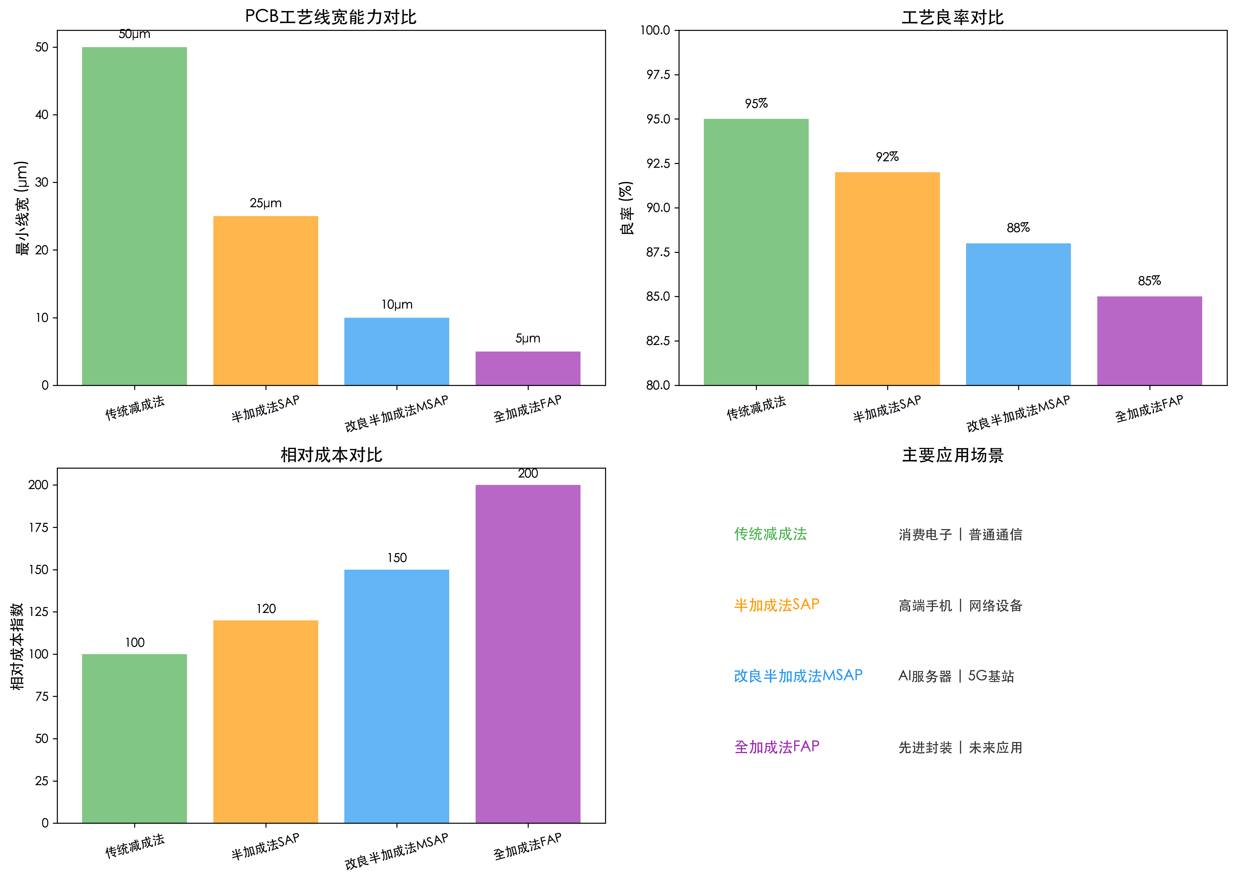
PCB制造正经历从传统HDI向MSAP(改良半加成法)工艺的重大升级。MSAP工艺能够实现线宽/线距10μm以下的精细布线,相比传统HDI的25μm有质的飞跃。这种技术升级直接决定了企业在AI时代的竞争地位。
从产能扩张看,PCB龙头企业正积极布局先进工艺产能。沪电股份投资50亿元建设青淞厂二期,专注AI服务器PCB;鹏鼎控股投资80亿元扩建秦皇岛基地;胜宏科技投资35亿元建设5G通信PCB产线。预计2025-2027年,行业新增产能投资将超过500亿元。

05-2 产品结构升级:从普通PCB向高端PCB跃迁
PCB产品结构正发生深刻变化。传统4-6层普通PCB逐步被8-20层高密度PCB替代,而AI服务器PCB更是达到30层以上。产品价值量差异巨大:普通PCB单价10-50元,高端通信PCB单价200-500元,AI服务器PCB单价1000-3000元。
从技术要求看,AI级PCB对信号完整性、热管理、可靠性都提出了极高要求。线宽精度要求±10%以内,阻抗控制精度±5%以内,层间对准精度±15μm以内。只有具备先进工艺能力的企业才能满足这些要求。

05-3 客户结构优化:从消费电子向AI算力转移
PCB企业客户结构正发生重要变化。传统消费电子客户增长乏力,而AI、5G、新能源汽车等新兴客户快速崛起。以沪电股份为例,AI服务器客户收入占比已从2022年的15%提升至2025年上半年的45%。
客户结构优化带来盈利能力显著提升。AI客户的PCB采购单价是消费电子客户的5-8倍,毛利率高出10-15个百分点。同时,AI客户对供应商技术能力要求极高,一旦进入供应链体系,客户粘性极强。

05-4 一体化优势:垂直整合提升竞争壁垒
PCB行业正朝着垂直一体化方向发展。一体化企业在成本控制、质量管控、交期保障等方面具有显著优势。以鹏鼎控股为例,公司从覆铜板到PCB制造全产业链布局,综合毛利率比纯PCB制造企业高出3-5个百分点。
一体化还能够增强企业的技术创新能力。通过上下游协同研发,企业能够更好地理解客户需求,开发出更具竞争力的产品。这种技术协同效应在AI时代尤为重要,因为AI应用对PCB的技术要求极为苛刻。

05-5 投资策略:聚焦AI赛道龙头与技术升级标的
中游制造环节投资逻辑:技术领先+客户优质+产能扩张。重点关注三条投资主线:
主线一:AI服务器PCB龙头 - 沪电股份(英伟达核心供应商)、深南电路(IC载板龙头)
主线二:通信PCB领军企业 - 胜宏科技(5G基站PCB龙头)、景旺电子(HDI技术领先)
主线三:一体化优势企业 - 鹏鼎控股(苹果供应链核心)、广合科技(汽车PCB专家)
06 下游产业链
下游应用是PCB产业链的需求源泉,毛利率15-25%,规模效应明显,需求结构持续升级。主要包括通信设备、计算机、汽车电子、工控医疗、消费电子等多个领域,其中AI算力、5G通信、新能源汽车成为增长主引擎。
06-1 AI算力需求:服务器PCB用量激增,单价大幅提升
AI算力需求是当前PCB行业最重要的增长驱动力。根据研报数据,单台AI服务器PCB用量相比传统服务器增长3-5倍,价值量增长8-12倍。这主要源于AI服务器中GPU板组、NVSwitch等高价值组件的大量应用。
从市场规模看,全球AI服务器市场预计从2024年的150亿美元增长至2027年的400亿美元,年复合增长率达到38%。其中,PCB价值量占比约8-12%,对应市场规模将达到32-48亿美元。

06-2 5G通信设备:基站建设推动高频PCB需求增长
5G基站建设为PCB行业带来了新的增长点。5G基站对PCB的技术要求极高,需要具备优异的高频性能和热管理能力。单个5G基站PCB价值量约8000-12000元,相比4G基站的3000-5000元大幅提升。
从建设进度看,中国5G基站数量已超过350万个,预计到2027年将达到600万个。全球5G基站建设也在加速,预计未来3年新增基站数量超过200万个。这为高频PCB带来了巨大的市场机会。

06-3 新能源汽车:汽车电子化推动PCB需求快速增长
新能源汽车是PCB行业的另一个重要增长引擎。传统燃油车PCB价值量约500-800元,而新能源汽车PCB价值量达到2000-3500元,增长3-4倍。这主要源于动力电池管理系统、电机控制器、车载充电机等电子系统的大量应用。
从市场前景看,全球新能源汽车销量预计从2024年的1400万辆增长至2027年的2800万辆,年复合增长率达到26%。汽车PCB市场规模将从80亿美元增长至150亿美元。

06-4 工控医疗:数字化转型推动PCB需求稳步增长
工控医疗领域的数字化转型为PCB带来了稳定的增长需求。工业4.0、智能制造、医疗设备智能化等趋势推动PCB需求持续增长。虽然单体价值量不如AI服务器,但需求稳定性强,毛利率相对较高。
从技术要求看,工控医疗PCB对可靠性、稳定性要求极高,需要通过严格的认证体系。这为技术实力强、质量管控严的企业提供了差异化竞争优势。预计工控医疗PCB市场规模将保持8-12%的稳定增长。

06-5 需求驱动因素:技术升级与应用创新双轮驱动
下游需求增长主要由两大因素驱动:技术升级和应用创新。技术升级方面,AI、5G、新能源等新技术对PCB性能提出了更高要求,推动产品升级和价值量提升。应用创新方面,智能驾驶、物联网、边缘计算等新应用不断涌现,创造了新的需求空间。
我预计未来3-5年,下游需求将呈现量价齐升的态势。量的增长来自新应用的快速普及,价的提升来自技术要求的不断提高。这为PCB行业带来了前所未有的发展机遇。
06-6 投资策略:聚焦高成长应用领域的受益标的
下游应用投资逻辑:需求确定性+成长性+技术壁垒。重点关注三条投资主线:
主线一:AI算力受益标的 - 关注AI服务器、数据中心设备制造商
主线二:5G通信设备商 - 关注基站设备、网络设备制造商
主线三:新能源汽车供应链 - 关注电池管理、电机控制等核心器件供应商
07 投资逻辑与精选龙头
通过深入分析PCB产业链,我发现当前正处于行业发展的黄金窗口期。AI算力需求爆发、技术升级加速、国产替代提速三重逻辑共振,为投资者提供了难得的配置机会。
07-1 投资主逻辑:AI驱动的产业链价值重构
我的核心投资逻辑基于三个关键判断:
判断一:需求结构性升级 - AI算力需求将PCB行业带入新的增长周期,高端PCB需求激增,产品价值量大幅提升。这不是简单的周期性复苏,而是结构性的需求升级。
判断二:技术壁垒持续提升 - MSAP工艺、CoWoP封装等新技术不断涌现,技术壁垒越来越高,马太效应愈发明显。技术领先企业将获得超额收益。
判断三:国产替代加速突破 - 在政策支持和市场需求双重推动下,国产PCB产业链正在实现全面突破,从材料到设备再到制造,都有望实现进口替代。

07-2 核心投资标的:三大主线精选龙头
主线一:AI服务器PCB龙头
沪电股份(002463.SZ) - AI服务器PCB绝对龙头
主要业务:公司是全球领先的PCB制造商,专注于通信PCB和企业网通PCB,是英伟达、博通等AI芯片巨头的核心供应商。AI服务器PCB收入占比已超过45%。
产业链位置:位于PCB制造环节核心位置,具备从HDI到MSAP的全工艺能力,在AI服务器PCB领域技术领先,客户壁垒极深。
核心竞争力:技术实力雄厚,拥有30层以上高多层板制造能力;客户资源优质,与英伟达、AMD等AI巨头深度绑定;产能扩张积极,青淞厂二期专注AI应用。
产业链受益:直接受益于AI服务器需求爆发,单台服务器PCB价值量1000-3000元,相比传统服务器增长8-12倍。
收入预期:预计2025-2027年营收复合增长率25-30%,毛利率从目前的18%提升至25%以上,净利率提升至12%以上。
深南电路(002916.SZ) - IC载板与高端PCB双轮驱动
主要业务:公司是国内IC载板龙头,同时在高端PCB制造领域技术领先。IC载板业务占比约40%,PCB业务占比约50%,电子装联业务占比约10%。
产业链位置:位于PCB产业链高端环节,IC载板技术壁垒极高,是AI芯片封装的核心材料,在CoWoP等先进封装技术方面布局领先。
核心竞争力:IC载板技术国内领先,打破国外垄断;高端PCB工艺先进,具备MSAP等先进工艺能力;客户结构优质,服务华为、中兴等头部客户。
产业链受益:受益于AI芯片封装需求增长和5G通信设备升级,IC载板和高端PCB需求双重驱动,盈利能力持续提升。
收入预期:预计2025-2027年营收复合增长率20-25%,毛利率从目前的22%提升至28%以上,净利率提升至15%以上。
主线二:上游材料国产替代
圣泉集团(605589.SH) - 电子树脂国产化龙头
主要业务:公司是国内电子树脂领军企业,自主研发的聚苯醚(PPO/PPE)树脂通过国内重点头部企业认证,建成1300吨/年全自动化产线并实现满产满销。
产业链位置:位于PCB产业链上游核心材料环节,电子树脂是覆铜板制作材料中唯一具有可设计性的有机物,对PCB性能影响巨大。
核心竞争力:技术实力雄厚,同时拥有聚苯醚树脂和碳氢树脂生产能力;产品性能优异,碳氢树脂介电常数2.8以下;客户认证完成,成功打入主流供应链。
产业链受益:受益于高端覆铜板需求增长和电子树脂国产替代,产品价格和销量双重提升,盈利能力显著改善。
收入预期:预计2025-2027年电子树脂业务营收复合增长率40-50%,毛利率从目前的35%提升至45%以上。
宏和科技(603256.SH) - 电子玻纤布技术领先者
主要业务:公司是国内电子玻纤布龙头企业,专注于电子级玻璃纤维及制品的研发、生产和销售,产品广泛应用于PCB、风电叶片等领域。
产业链位置:位于PCB产业链上游关键材料环节,电子玻纤布承担PCB的支撑和绝缘功能,其介电性能直接影响信号传输质量。
核心竞争力:技术实力领先,掌握第三代低介电玻纤布技术;产品结构优化,高端产品占比持续提升;客户资源优质,与生益科技等头部覆铜板企业深度合作。
产业链受益:受益于高频高速PCB需求增长和玻纤布技术升级,低介电产品需求激增,产品结构持续优化。
收入预期:预计2025-2027年营收复合增长率15-20%,毛利率从目前的28%提升至35%以上,净利率提升至18%以上。
主线三:PCB设备国产替代
大族数控(301200.SZ) - PCB设备国产替代核心标的
主要业务:公司是国内PCB设备龙头企业,主要产品包括PCB钻孔设备、成型设备、检测设备等,在PCB专用设备领域技术领先。
产业链位置:位于PCB产业链设备供应环节,PCB核心工艺包括钻孔、电镀和蚀刻成像等,直接决定了电路板的互连密度、信号完整性和生产良率。
核心竞争力:技术实力雄厚,在高精度钻孔、激光加工等领域技术领先;产品线完整,覆盖PCB制造全流程设备;客户认证深入,与PCB龙头企业建立稳定合作关系。
产业链受益:受益于PCB行业扩产和设备国产替代,高端设备需求激增,进口替代空间广阔,订单增长和盈利能力双重提升。
收入预期:预计2025-2027年营收复合增长率30-35%,毛利率从目前的42%提升至48%以上,净利率提升至20%以上。
芯碁微装(688630.SH) - PCB光刻设备专业厂商
主要业务:公司是国内PCB光刻设备领军企业,主要产品包括直写光刻设备、激光直接成像设备等,在PCB精密制造领域技术领先。
产业链位置:位于PCB制造核心设备环节,光刻成像是PCB制造的关键工艺,直接决定线路精度和产品良率,对MSAP等先进工艺至关重要。
核心竞争力:技术壁垒极高,掌握激光直接成像核心技术;产品性能优异,精度达到5μm以下;市场地位领先,在国产PCB光刻设备市场占有率第一。
产业链受益:受益于PCB向高精度方向发展和光刻设备国产替代,MSAP工艺推广带来设备需求激增,技术优势转化为市场优势。
收入预期:预计2025-2027年营收复合增长率25-30%,毛利率维持50%以上高水平,净利率提升至25%以上。

07-3 投资时机判断:三阶段配置策略
第一阶段:底部配置期(2024年Q4-2025年Q1) - 已经过去
特征:AI需求刚刚启动,市场认知不足,估值处于历史低位。这个阶段是最佳的战略配置窗口,但大部分投资者还没有意识到AI对PCB行业的深远影响。
第二阶段:价值重估期(2025年Q2-2025年Q4) - 当前阶段
特征:AI需求快速释放,业绩开始兑现,市场认知逐步提升,估值修复进行中。当前正处于这个阶段,是积极配置的重要窗口。建议重点关注业绩弹性大、技术壁垒高的龙头企业。
第三阶段:业绩兑现期(2026年-2027年) - 未来阶段
特征:AI需求全面爆发,业绩大幅增长,估值达到合理水平。这个阶段重点关注业绩确定性强、成长持续性好的优质标的,适合长期持有。

08 总结与展望
通过对PCB产业链的深度分析,我对这个行业的投资价值有了更加清晰的认识。AI算力需求的爆发为PCB行业带来了前所未有的发展机遇,这不仅仅是一个周期性的复苏,更是一次结构性的产业升级。
08-1 核心投资逻辑回顾:三大关键判断支撑长期价值
需求端结构性升级:AI服务器PCB需求激增,单台价值量相比传统服务器增长8-12倍,这种需求升级具有不可逆性。
供给端技术壁垒提升:MSAP工艺、CoWoP封装等新技术不断涌现,技术领先企业将获得超额收益,马太效应愈发明显。
产业链国产替代加速:从材料到设备再到制造,国产PCB产业链正在实现全面突破,进口替代空间巨大。
08-2 投资策略的核心要点:三条主线精准布局
AI服务器PCB主线:重点关注沪电股份、深南电路等技术领先、客户优质的龙头企业,享受AI需求爆发红利。
上游材料国产替代主线:重点关注圣泉集团、宏和科技等在电子树脂、玻纤布等关键材料领域实现突破的企业。
设备国产替代主线:重点关注大族数控、芯碁微装等在PCB设备领域技术领先、进口替代空间大的企业。
08-3 我的思考与建议:把握时代机遇,理性配置资产
关于投资时机:当前正处于价值重估期,是积极配置的重要窗口。建议分批建仓,重点配置业绩弹性大的龙头标的。
关于标的选择:优选技术壁垒高、客户资源优质、管理团队优秀的龙头企业。避免追涨杀跌,注重长期价值。
关于配置策略:建议采用核心+卫星的配置策略,核心仓位配置确定性强的龙头,卫星仓位配置弹性大的成长股。
08-4 与读者的互动思考:共同探讨投资机会
你认为AI对PCB行业的影响会持续多久?这种影响是短期的需求刺激,还是长期的结构性变化?
在PCB产业链中,你最看好哪个环节?是上游材料的国产替代,还是中游制造的技术升级?
面对当前的估值水平,你会如何配置PCB相关标的?是集中投资龙头,还是分散配置产业链?
你觉得PCB行业还有哪些投资风险需要关注?技术迭代、竞争加剧,还是需求波动?
希望这篇深度分析能够为大家的投资决策提供有价值的参考。PCB产业链正站在时代的风口上,让我们一起把握这个难得的投资机遇!
— 完 —